首页 > 信息园地 > 行业新闻

《柳叶刀》子刊:季节性流感的后遗症不容忽视!9万人18个月随访显示,季节性流感与6种后遗症风险增加有关,且多集中在肺部

2023-12-27 15:19:36    来源:奇点糕

与去年医院里充斥着阳了的病人不同,今年医院里涌现了大批流感患者。若此时比较一下到底是得新冠难受还是得流感难受,我的选择肯定是都别得,毕竟去年阳了以后,我的嗅觉到现在都没有完全恢复。

之前我们写过的一篇文章中提到,即使是在感染新冠两年后,我们仍然会面临多种新冠急性后遗症的困扰。那么流感会像新冠一样,对我们的身体健康造成长期不良的影响吗?

针对这个问题,圣路易斯华盛顿大学Ziyad Al-Aly团队近日的一项研究就给了我们一个答案。

他们在分析了9万多人的18个月随访数据后发现,需要住院的新冠感染者和季节性流感患者,他们的死亡、再入院,以及多器官后遗症的风险在感染的18个月内都是增加的。只不过相比于季节性流感,新冠感染者的死亡、再入院风险和多器官后遗症的风险要更高。

在纳入的94种后遗症中,新冠感染者与其中64种(68.1%)后遗症风险增加有关;季节性流感患者也与其中6种(6.4%)后遗症风险增加有关,且后遗症多集中在肺部。

研究发表在《柳叶刀·传染病学》上。


论文首页截图

为了弄清楚,季节性流感是否会像新冠一样,对我们身体健康产生长期不良影响,Ziyad Al-Aly团队利用了美国退伍军人事务部的数据,并从中筛选了2020年3月1日至2022年6月30日期间因新冠感染住院的81280例患者(包含感染德尔塔之前的毒株,德尔塔以及奥密克戎的患者),以及2015年10月至2019 年2月期间因流感住院的10985例患者(其中76.1%是甲型流感患者,剩下的是其他类型的流感患者),其中女性患者占比5%,平均年龄70.73岁。

随后,研究人员比较了季节性流感患者和新冠感染者在随访期间的死亡、再入院情况,以及涉及的相关后遗症的发生风险。研究中季节性流感和新冠相关后遗症共94种,可归纳到10个器官-系统中(如心血管系统疾病、凝血和血液系统疾病、肺部疾病、疲劳、胃肠道疾病、肌肉骨骼疾病等)。

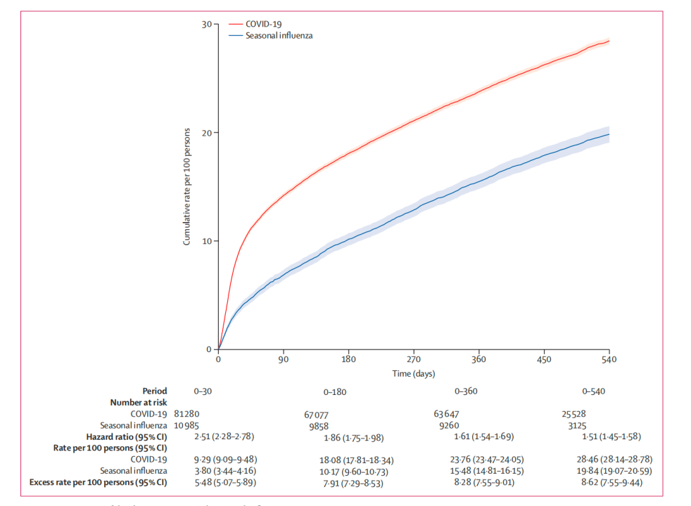
在死亡率上,研究人员发现,在整个随访期间,新冠感染者的累积死亡率为28.46/100人,季节性流感患者的累积死亡率为19.84/100人,与季节性流感患者相比,新冠感染者的死亡风险更高(HR=1.51)。

 


新冠感染者和季节性流感患者累积死亡率上的差异

在再住院风险上,研究人员同样发现,在整个随访期间,新冠感染者的再住院风险(HR=1.11)和进入重症监护室(ICU)的风险(HR=1.27)要高于季节性流感患者。在再住院和进入ICU的累积发生率上,研究人员计算得出,每100人中,新冠感染者的再住院和进入ICU的人数分别比季节性流感患者多20人和9人。


新冠感染者和季节性流感患者累积再住院率上的差异

最后,在后遗症的发生风险上,在整个随访期间,新冠感染者与其中64种(68.1%)后遗症风险增加有关,主要涉及12种心血管系统疾病、5种凝血和血液系统疾病、1种疲劳相关问题、9种胃肠道系统疾病、4种肾脏系统疾病、14种心理健康相关疾病、 2种代谢系统疾病、3种肌肉骨骼系统疾病、13种神经系统疾病,以及1种肺部疾病。

而季节性流感患者则与其中6种(6.4%)后遗症风险增加有关,主要涉及心绞痛、心动过速、1型糖尿病,以及3种肺部疾病(咳嗽、低氧血症和呼吸急促)。器官-系统比较风险分析显示,除了肺部疾病以外,新冠感染者在其他系统疾病的发生风险上均高于季节性流感患者。

新冠感染者和季节性流感患者不同后遗症随时间的变化

更重要的是,研究人员在计算疾病负担时发现,除了胃肠道系统疾病外,新冠感染者和季节性流感患者队列中超过一半的疾病发病负担发生在感染急性期(30天)后,这也意味着,对于需要住院的新冠感染者和季节性流感患者而言,感染急性期后的护理也格外重要。

总之,Al-Aly团队的研究表明,无论是季节性流感还是新冠都会对我们身体造成长期的影响。

Al-Aly团队也表示,感染症状的消失,并不意味着疾病的终结,我们往往会忽视一个小感冒对我们造成的影响。未来我们更应关注因季节性流感和新冠感染而长期受到健康问题影响的人群的护理需求。




    暂无文档
    分享到:
暂无评论
①凡本网注明“来源:益择网”或“益择网讯”的所有作品,版权均属于益择网,转载或摘编请必须注明益择网, http://www.51select.com/ ,用作其他用途请务必联系本网 。违反者本网将追究相关法律责任。
②本网转载并注明自其它来源的作品或会员自行上传的资料,目的在于传递更多信息,并不代表本网赞同其观点或证实其内容的真实性,不承担此类作品侵权行为的直接责任及连带责任。其他媒体、网站或个人从本网转载时,必须保留本网注明的作品来源,并自负版权等法律责任。
③如涉及作品内容、版权等问题,请在作品发表之日起一周内与本网联系,否则视为放弃相关权利。

更多促销产品

更多最新产品

海能TANK微波消...